Shop menü

MOSTANTÓL MÉG JOBBAN VEZETHET A GRAFÉN

A Vanderbilt Egyetem kutatói azonosították az elektronok gyors haladását gátló tényezőket a grafénban és módot találtak a probléma megoldására is. 
Jools _
Jools _
Mostantól még jobban vezethet a grafén

Ami a grafént napjaink szupersztárjává teszi az anyagok között, az egyben a legnagyobb gyengesége is: nagyon érzékeny ugyanis elektromos környezetére. A hexagonális kristályrácsba rendeződött szénatomok egyetlen rétege könnyebb az alumíniumnál, erősebb az acélnál és jobban vezeti a hőt és az áramot, mint a réz. Ilyen tulajdonságok mellett a kutatók világszerte igyekeznek kitalálni annak a módját, hogyan lehetne jobb kijelzőket, napelemeket, érintőképernyőket, integrált áramköröket, szenzorokat és egyebeket készíteni az anyag felhasználásával. Némi probléma van azonban a grafén elektronikus viselkedésével szobahőmérsékleten és normál légköri nyomáson: nem elég gyors ugyanis az anyagban az elektronok áramlása, és sokáig nem értették, hogy miért van ez.

A Vanderbilt Egyetem kutatói a Nature Communications oldalain számolnak be arról a kutatásról, melynek során azonosították az elektronok gyors haladását gátló tényezőket és módot találtak a probléma megoldására is. A felfedezés révén rekordmértékű elektronáramlást értek el szobahőmérsékleten: nagyjából háromszorosát az eddigiek során grafén alapú készülékekben elért sebességnek.

Galéria megnyitása

A kutatók szerint a grafén elviekben a lehető legjobban vezető anyag, azonban ez a képessége a tényleges mérések során eddig nem mutatkozott kiugrónak. Míg sokkal jobban vezet, mint a szilícium vagy a réz, érthetetlen módon úgy tűnt, hogy valami mintha lassítaná az elektronok áramlását.

„A fő problémát az jelenti, hogy amikor grafént gyártunk, nemcsak grafént kapunk eredményül, hanem egy csomó más dolgot is” ‒ mondja Kirill Bolotin, a kutatás egyik résztvevője. „A grafén rendkívül érzékeny a külső behatásokra, és a felszínén található különféle feltöltődött szennyeződések által generált elektromos mezők szórják az anyagon áthaladó elektronokat, így a grafén alapú tranzisztor lassabban működik és gyorsabban hevül a kívánatosnál.”

A kutatók egy ideje sejtették, hogy ezek a szennyeződések állhatnak a problémák hátterében, de nem voltak benne biztosak. Számos más teória is született arra, hogy a grafén miért nem képes megközelíteni elvi teljesítőképességének határait. (Ezek egyike szerint például a grafénlap fodrozódás okozhatja az elektronok szóródását.) A mostani kutatás azonban minden kétséget kizáróan bizonyítja, hogy a feltöltődött szennyeződések okozzák a gondot, így ezekkel kell felvenni a harcot, mondja Bolotin.

Galéria megnyitása

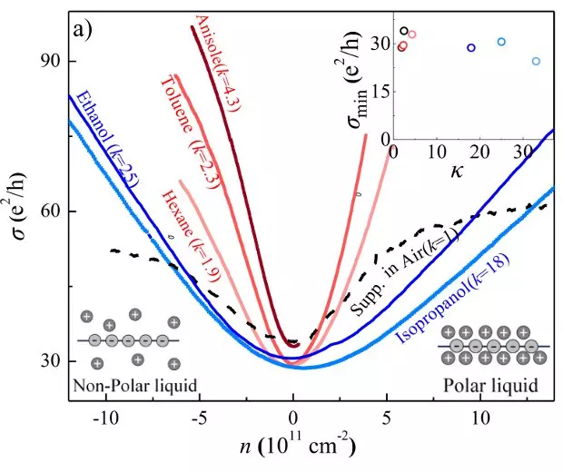
A probléma megoldása érdekében a kutatók különféle folyadékokba merítették a grafént és megmérték vezetőképességének változásait. Úgy találták, hogy az áramló elektronok sebessége radikálisan nő, ha elektromosan semleges folyadékba áztatják a grafénlapot. Ezek a folyadékok nagy mértékben képesek energiát elnyelni, és a grafén esetében ezzel elnyomják a szennyeződések által keltett elektromos mezőket, így biztosítva az elektronok akadálymentesebb áramlását. A legnagyobb sebességet akkor érték el, amikor a semleges folyadék anizol volt, egy ánizsra emlékeztető illatú, színtelen anyag.

Most, hogy már világos a probléma oka, mindössze figyelembe kell venni, és igyekezni kiküszöbölni a grafén alapú készülékek tervezésénél, mondja Bolotin. A kutató hozzáteszi, hogy a grafén extrém érzékenységének előnyei is vannak, amelyek még kiaknázásra várnak: ezt a tulajdonságát kihasználva rendkívül érzékeny és egyben biokompatibilis szenzorok építhetők alkalmazásával.

Galéria megnyitása

 

Hírlevél feliratkozás
A feliratkozással elfogadom a Felhasználási feltételeket és az Adatvédelmi nyilatkozatot.

Neked ajánljuk

    Tesztek

      Kapcsolódó cikkek

      Vissza az oldal tetejére