Shop menü

ITT AZ ALDER LAKE-S KOMPATIBILIS XMP 3.0-S DDR5-ÖS MEMÓRIAMODULOK LISTÁJA

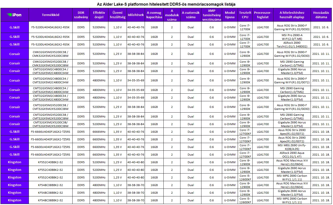
A gyártó bizonyos alaplap-processzor párosok alkalmazása mellett tesztelte és hitelesítette a DDR5-ös memóriacsomagokat, ám arra így sincs garancia, hogy a DDR5-4800 MHz feletti effektív órajelet átlépve minden rendszer maximálisan stabil lesz, hiszen ez tuningnak számít.
Víg Ferenc (J.o.k.e.r)
Víg Ferenc (J.o.k.e.r)
Itt az Alder Lake-S kompatibilis XMP 3.0-s DDR5-ös memóriamodulok listája

Az Intel egy friss kompatibilitási listát tett közzé, amelyből kiderül, mely XMP 3.0-s támogatással rendelkező DDR5-ös memóriacsomagok használhatóak gond nélkül az Alder Lake-S processzorokkal. Azt persze feltétlenül fontos kihangsúlyozni, hogy alap esetben a hivatalos memóriatámogatás DDR5-4800 MHz, vagyis minden olyan memóriamodul, amely ennél magasabb effektív órajelen ketyeg, csak tuning hatására tudja elérni a névleges paramétereit, márpedig arra nincs garancia, hogy ezeken az emelt órajeleken is stabil és működőképes lesz a rendszer minden egyes processzorral és minden egyes alaplappal, hiszen a processzor integrált memóriavezérlőjétől függ majd, pontosan meddig lehet elmerészkedni effektív memória-órajel terén.

A DDR5-ös memóriamodulok alap esetben mindössze 1,1 V-os üzemi feszültséggel dolgoznak, ami alacsonyabb a DDR4-es megoldásoknál érvényben lévő 1,2 V-nál – a megemelt effektív órajelen ketyegő modulok persze magasabb feszültségeket igényelnek, ahogy azt megszokhattuk, és ahogy az a lenti táblázatból is kiderül. A kínálat alapján úgy tűnik, a Corsair háza táján találjuk a legjobb tulajdonságokkal rendelkező memórialapkákat, ugyanis a Dominator Platinum széria tagjai között CL34-35-35-69-es időzítéssel rendelkező megoldások is találhatóak, míg a rivális Kingston Fury Beast szériájának legjobb tagjai is csak CL38-38-38-70-es időzítés elérésére képesek. A Corsair termékei az alacsonyabb időzítések és a vonzó dizájn miatt picivel drágábbak lehetnek majd riválisaiknál.

Galéria megnyitása

Aki magasabb effektív órajelen ketyegő memóriamodulokra vágyik, a G.Skill háza táján nézelődjön, ott ugyanis DDR5-6000 MHz-től DDR5-6666 MHz-ig terjed a kínálat, sőt, a vállalat nemrégiben DDR5-6800 MHz-es memóriacsomagokkal is előrukkolt, amelyek várhatóan rendkívül borsos áron kerülhetnek forgalomba.

Az egyelőre nem világos, az Alder Lake-S processzorok integrált memóriavezérlője (IMC) mennyire tuningbarát, illetve mennyire zökkenőmentesen működik együtt a kifejezetten magas effektív órajelen ketyegő memóriamodulokkal. A tesztek rövidesen megjelennek, így erre a kérdésre is választ kaphatunk, valamint az is kiderülhet, hogy az DDR4-es és a DDR5-ös memóriaszabvány között mekkora teljesítménykülönbség mutatkozik az új processzorok mellett.

Hírlevél feliratkozás
A feliratkozással elfogadom a Felhasználási feltételeket és az Adatvédelmi nyilatkozatot.

Neked ajánljuk

    Tesztek

      Kapcsolódó cikkek

      Vissza az oldal tetejére